Study supports Davis Symbol Mastery

clay model of about
Image from www.unlockingdyslexia.com

A recently published case study documents the progress of a fourth grade special education student who successfully used a modified form of Davis Symbol Mastery to improve spelling skills. The study subject, a 9-year-old boy named Dylynn, was diagnosed with dyslexia and had  first-grade level reading and spelling skills at the outset of the study.  He received support at school during a daily session with a student teacher, during which he typically studied and modeled one to three words.

With each new word, Dylynn first wrote the word in his journal. He then looked the word up in a dictionary and then wrote the word’s pronunciation and a definition. He would then draw a picture depicting the word’s meaning, followed by modeling the word in clay, spelling the word aloud, and repeating it’s meaning.

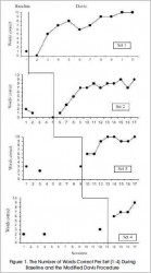
The student teacher helped Dylynn learn 50 words, in sets of 10 — with pre and post testing after each word set.

symbol-mastery-results
Click for enlarged view of chart

 When the program started, Dylynn was only able to spell one word out of ten during  baseline testing.. After the Davis-based intervention, he was generally able to achieve 100% correct on spelling tests. In fact, his achievement was lower on only one of four word set trials, where he scored 90% on the post-intervention test.

The researchers reported:

Dylynn clearly was able to consistently spell words for which he had performed the Davis procedure whereas before he had very low achievement levels with those words. He also seemed to develop a sense of ownership over his learning of spelling words. He consistently worked hard and demonstrated creativity in his drawings and clay formations of the words.

All the directions and guidelines for the intervention were clearly found in the Davis Symbol Mastery System Handbook, but even those were not needed after the first session. The student was quickly able to proceed through the steps of the process without direction from the first author.”

Research Citation: 

Amsberry, Gianna; T. F. Mclaughlin; K. Mark Derby; Teresa Waco. “The Effects Of The Davis Symbol Mastery System To Assist A Fourth Grader With Dyslexia In Spelling: A Case Report,” I-manager’s Journal On Educational Psychology. Vol. 6, No. 2, pp 13-18, August-October. 2012
.
More Information: